Задача по физике h

Примеры задач по физике 7 класс с решением. Образец решения задачи по физике. Задачи по физике. Задачи на силу упругости 7 класс с решением физика. Задача по физике h.
Примеры задач по физике 7 класс с решением. Образец решения задачи по физике. Задачи по физике. Задачи на силу упругости 7 класс с решением физика. Задача по физике h.
Физика решение задач. Образец решения задач по физике 7 класс. Решить задачу по физике 9 класс. Решение задач по теме «механическое движение». Задачи по физике 10 класс с решением.
Физика решение задач. Образец решения задач по физике 7 класс. Решить задачу по физике 9 класс. Решение задач по теме «механическое движение». Задачи по физике 10 класс с решением.
Задачи по физике 9 класс. Физика 11 класс задачи. Пример оформления задачи по физике. Задачи по закону ньютона решение ответ. Задачи на скорость физика 7 класс с решением.
Задачи по физике 9 класс. Физика 11 класс задачи. Пример оформления задачи по физике. Задачи по закону ньютона решение ответ. Задачи на скорость физика 7 класс с решением.
Задачи 8 кл физика. Задача по физике h. Задачи на законы ньютона 10 класс с решением. Задачи по статике 10 класс физика. Статика задачи по физике 10 класс.
Задачи 8 кл физика. Задача по физике h. Задачи на законы ньютона 10 класс с решением. Задачи по статике 10 класс физика. Статика задачи по физике 10 класс.
Задачи по механике 9 класс. Задача по физике h. Задачи по физике 8 класс с решением и ответами. Как правильно оформлять задачи по физике 7 класс. Задачи по физике.
Задачи по механике 9 класс. Задача по физике h. Задачи по физике 8 класс с решением и ответами. Как правильно оформлять задачи по физике 7 класс. Задачи по физике.
Задача по физике h. Решение сложной задачи по физике. Решение задач на упругость 7 класс. Задачи по физике 9 класс с решением. Задача по физике h.
Задача по физике h. Решение сложной задачи по физике. Решение задач на упругость 7 класс. Задачи по физике 9 класс с решением. Задача по физике h.
Задача по физике h. Задачи на тему второй закон ньютона 9 класс. Задача по физике h. Методы решения задач по физике. Задачи по законам ньютона 10 класс с решением.
Задача по физике h. Задачи на тему второй закон ньютона 9 класс. Задача по физике h. Методы решения задач по физике. Задачи по законам ньютона 10 класс с решением.
Задачи на среднюю скорость физика. Задача по физике h. Задача по физике h. Задача по физике h. Задания по физике 10-11 класс.
Задачи на среднюю скорость физика. Задача по физике h. Задача по физике h. Задача по физике h. Задания по физике 10-11 класс.
Решение задач на среднюю скорость по физике. Задачи по физике 10-11 класс. Задача по физике h. Физика 7 кл решение задач на силу упругости. Задача по физике h.
Решение задач на среднюю скорость по физике. Задачи по физике 10-11 класс. Задача по физике h. Физика 7 кл решение задач на силу упругости. Задача по физике h.
Задачи по физике 7 класс. Домашнее задание физика. Задача по физике h. Задачи по статике 10 класс физика. Решение задач по 2 закону ньютона.
Задачи по физике 7 класс. Домашнее задание физика. Задача по физике h. Задачи по статике 10 класс физика. Решение задач по 2 закону ньютона.
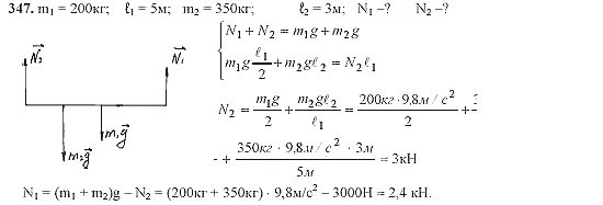
Задача по физике h. Задачи по физике 9 класс законы ньютона. Задача по физике h. К балке массой 200 кг и длиной 5. Сложные задачи по физике 10 класс.
Задача по физике h. Задачи по физике 9 класс законы ньютона. Задача по физике h. К балке массой 200 кг и длиной 5. Сложные задачи по физике 10 класс.
Задачи по нахождению силы упругости 7 класс. Как решать задачи по физике 7 класс задач. Физика 8 класс решение задач. Как решаются задачи по физике с формулами 7 класс. Задачи на силу трения 7 класс.
Задачи по нахождению силы упругости 7 класс. Как решать задачи по физике 7 класс задач. Физика 8 класс решение задач. Как решаются задачи по физике с формулами 7 класс. Задачи на силу трения 7 класс.
Задачи по физике на силы 9 класс. Простые задачи по физике. Физика 10 класс решение задач. Правильное оформление задач по физике. Задачи по физике 10 класс с решением.
Задачи по физике на силы 9 класс. Простые задачи по физике. Физика 10 класс решение задач. Правильное оформление задач по физике. Задачи по физике 10 класс с решением.
Задача по физике h. Задача по физике h. Как решаются задачи по физике. Задача по физике h. Задачи на вес тела 7 класс с решением физика.
Задача по физике h. Задача по физике h. Как решаются задачи по физике. Задача по физике h. Задачи на вес тела 7 класс с решением физика.
Задачи на механическое движение. Задачи по физике 9 класс с решением механика. Задача по физике h. Статика 9 класс задачи с решением. Задачи по физике 9 класс.
Задачи на механическое движение. Задачи по физике 9 класс с решением механика. Задача по физике h. Статика 9 класс задачи с решением. Задачи по физике 9 класс.
Задачи по физике за 9 класс. Физика 9 класс задачи. Задачи по физике 10 класс объяснение. Задачи по физике механика с решением. Физика решение задач.
Задачи по физике за 9 класс. Физика 9 класс задачи. Задачи по физике 10 класс объяснение. Задачи по физике механика с решением. Физика решение задач.
Задачи по второму закону ньютона. Задачи на скорость физика 7 класс с решением. Как оформляются задачи по физике 7 класс. Решение задач по 2 закону ньютона. Как решать задачи по физике 7 класс задач.
Задачи по второму закону ньютона. Задачи на скорость физика 7 класс с решением. Как оформляются задачи по физике 7 класс. Решение задач по 2 закону ньютона. Как решать задачи по физике 7 класс задач.
Механика физика задачи. Задачи по физике на механическое движение. Задачи по механическому движению. Задача по физике h. Задачи по статике с решениями 10 класс.
Механика физика задачи. Задачи по физике на механическое движение. Задачи по механическому движению. Задача по физике h. Задачи по статике с решениями 10 класс.
Задачи на правило моментов сил 10 класс. Задача по физике h. Задача по физике h. Задача по физике h. Физика 7 кл решение задач на силу упругости.
Задачи на правило моментов сил 10 класс. Задача по физике h. Задача по физике h. Задача по физике h. Физика 7 кл решение задач на силу упругости.
Задачи по статике 10 класс физика. Задачи на силу трения 7 класс. Образец решения задач по физике 7 класс. Задачи по физике 9 класс с решением. Как решаются задачи по физике.
Задачи по статике 10 класс физика. Задачи на силу трения 7 класс. Образец решения задач по физике 7 класс. Задачи по физике 9 класс с решением. Как решаются задачи по физике.